Overview

[1] [2] [3]

Back        Forward

Overview

[1] [2] [3]

Back        Forward

Overview

[1] [2] [3]

Back        Forward

Raw fits file and map fits file

27-May-2013:22:10:42_reload.fits

27-May-2013:22:10:42_reload_map.fits


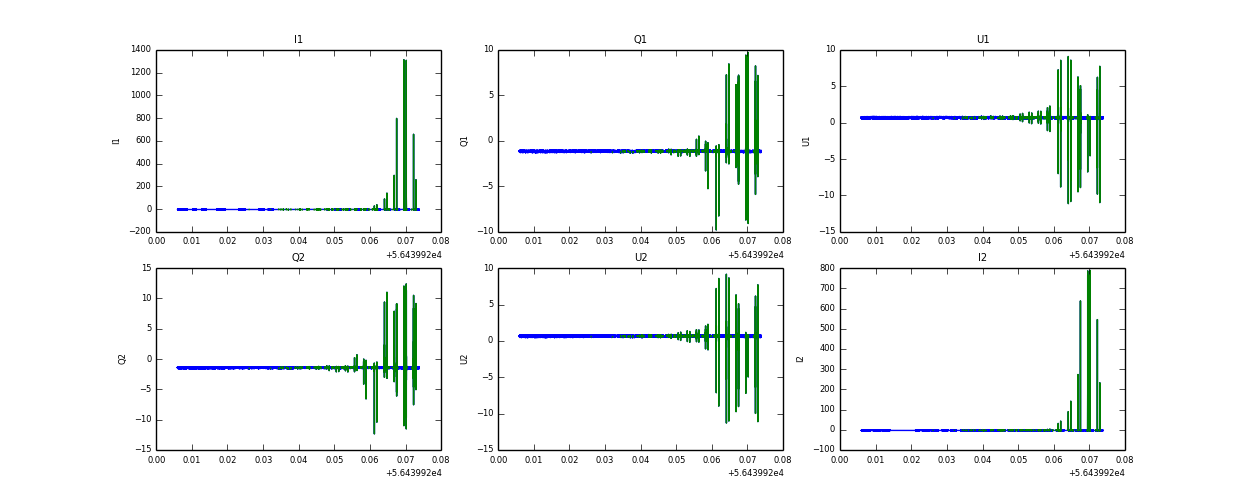
Raw channel data