Overview

[1] [2] [3]

Back        Forward

Overview

[1] [2] [3]

Back        Forward

Overview

[1] [2] [3]

Back        Forward

Raw fits file and map fits file

29-May-2013:18:09:27_reload.fits

29-May-2013:18:09:27_reload_map.fits


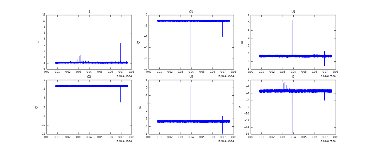
Raw channel data