Overview

[1] [2] [3]

Back        Forward

Overview

[1] [2] [3]

Back        Forward

Overview

[1] [2] [3]

Back        Forward

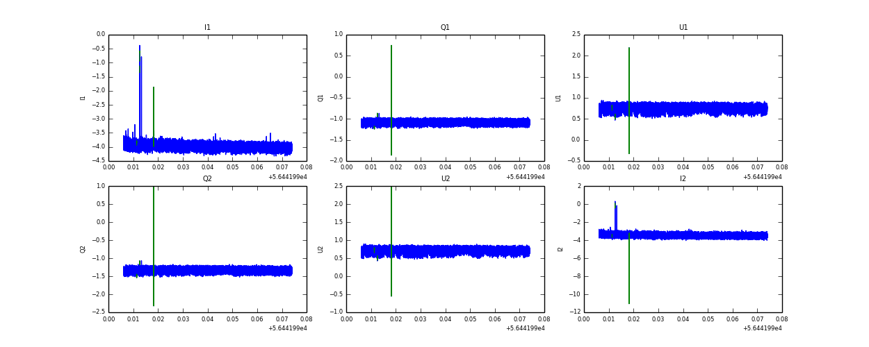
Raw fits file and map fits file

29-May-2013:23:51:38_reload.fits

29-May-2013:23:51:38_reload_map.fits


Raw channel data