Overview

[1] [2] [3]

Back        Forward

Overview

[1] [2] [3]

Back        Forward

Overview

[1] [2] [3]

Back        Forward

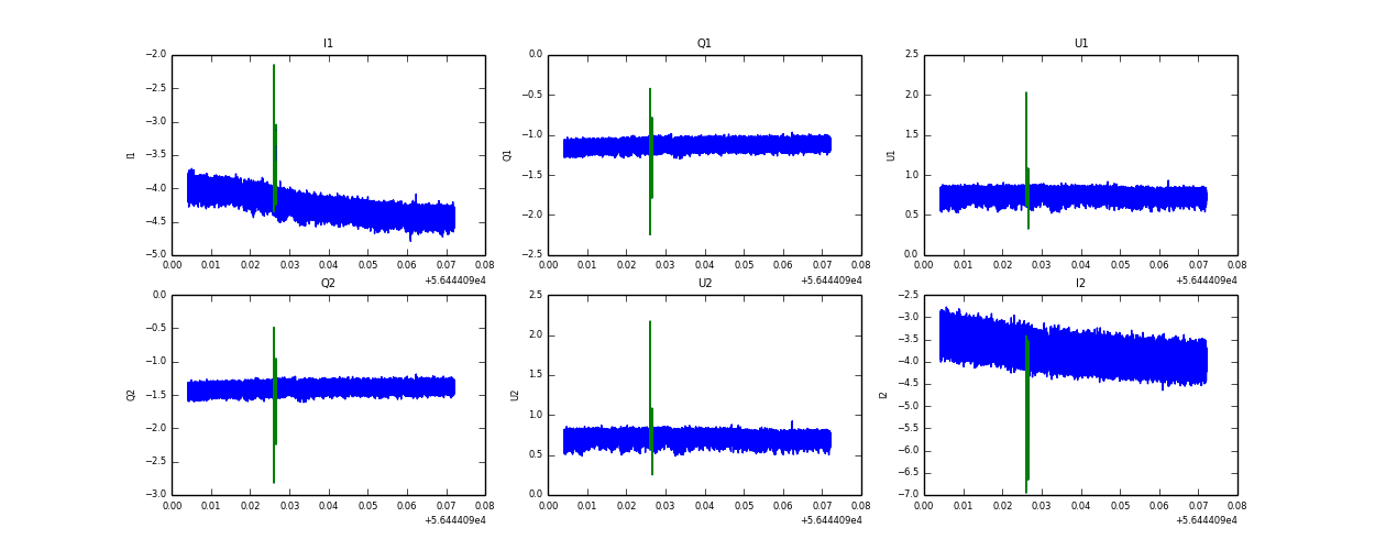
Raw fits file and map fits file

01-Jun-2013:02:12:49_reload.fits

01-Jun-2013:02:12:49_reload_map.fits


Raw channel data