Overview

[1] [2] [3]

Back        Forward

Overview

[1] [2] [3]

Back        Forward

Overview

[1] [2] [3]

Back        Forward

Raw fits file and map fits file

08-Jun-2013:14:04:04_reload.fits

08-Jun-2013:14:04:04_reload_map.fits


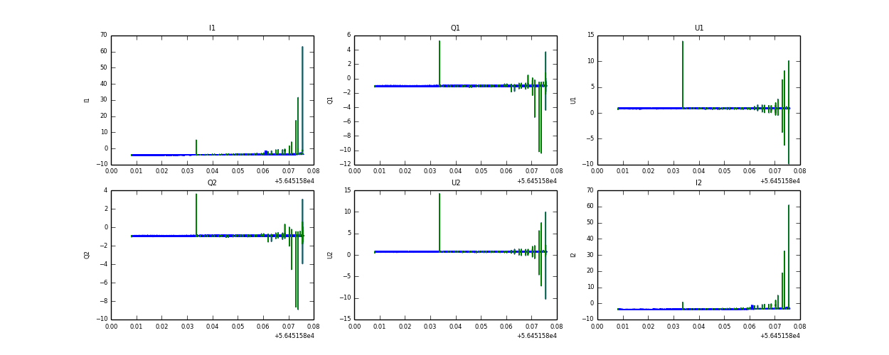
Raw channel data