Overview

[1] [2] [3]

Back        Forward

Overview

[1] [2] [3]

Back        Forward

Overview

[1] [2] [3]

Back        Forward

Raw fits file and map fits file

14-Jun-2013:03:57:47_reload.fits

14-Jun-2013:03:57:47_reload_map.fits


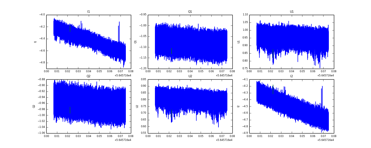
Raw channel data