Overview

[1] [2] [3]

Back        Forward

Overview

[1] [2] [3]

Back        Forward

Overview

[1] [2] [3]

Back        Forward

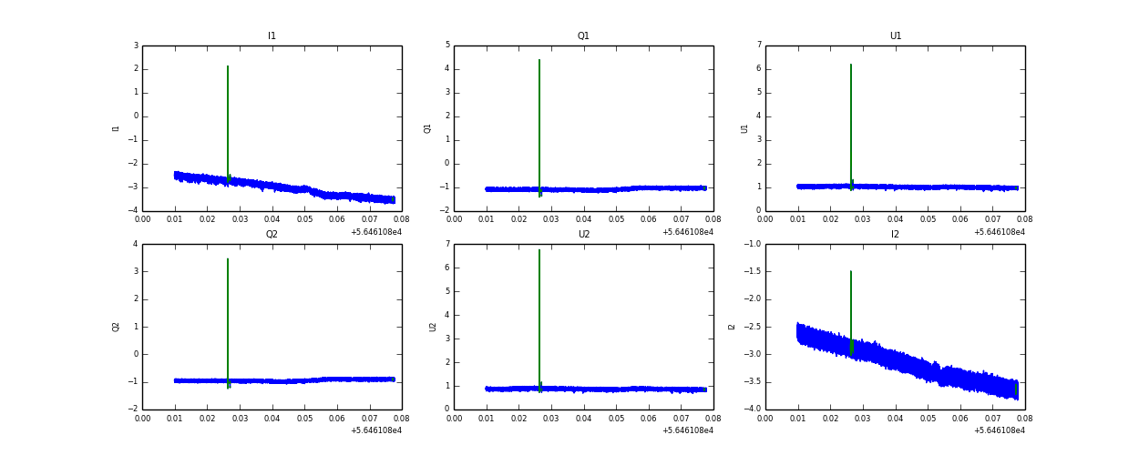
Raw fits file and map fits file

18-Jun-2013:02:06:46_reload.fits

18-Jun-2013:02:06:46_reload_map.fits


Raw channel data