Overview

[1] [2] [3]

Back        Forward

Overview

[1] [2] [3]

Back        Forward

Overview

[1] [2] [3]

Back        Forward

Raw fits file and map fits file

19-Jun-2013:14:12:05_reload.fits

19-Jun-2013:14:12:05_reload_map.fits


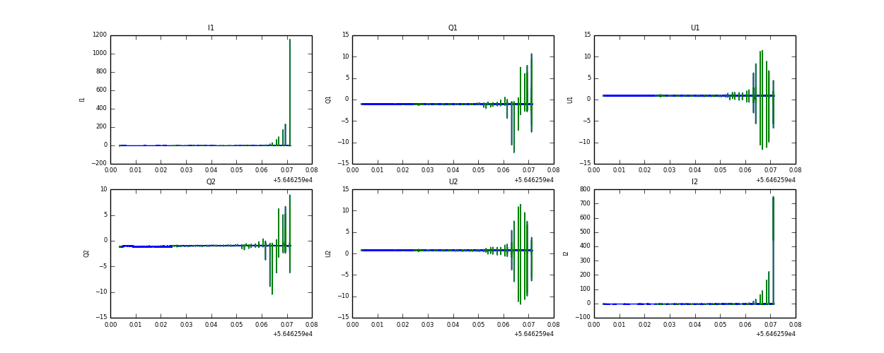
Raw channel data