Overview

[1] [2] [3]

Back        Forward

Overview

[1] [2] [3]

Back        Forward

Overview

[1] [2] [3]

Back        Forward

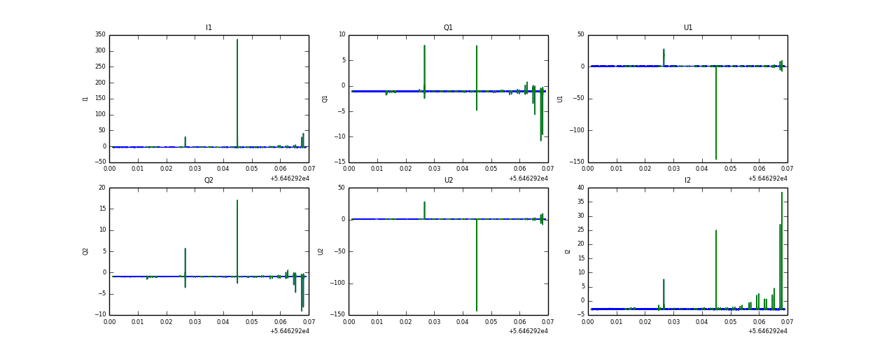
Raw fits file and map fits file

19-Jun-2013:22:03:41_reload.fits

19-Jun-2013:22:03:41_reload_map.fits


Raw channel data