Overview

[1] [2] [3]

Back        Forward

Overview

[1] [2] [3]

Back        Forward

Overview

[1] [2] [3]

Back        Forward

Raw fits file and map fits file

30-Jun-2013:03:11:42_reload.fits

30-Jun-2013:03:11:42_reload_map.fits


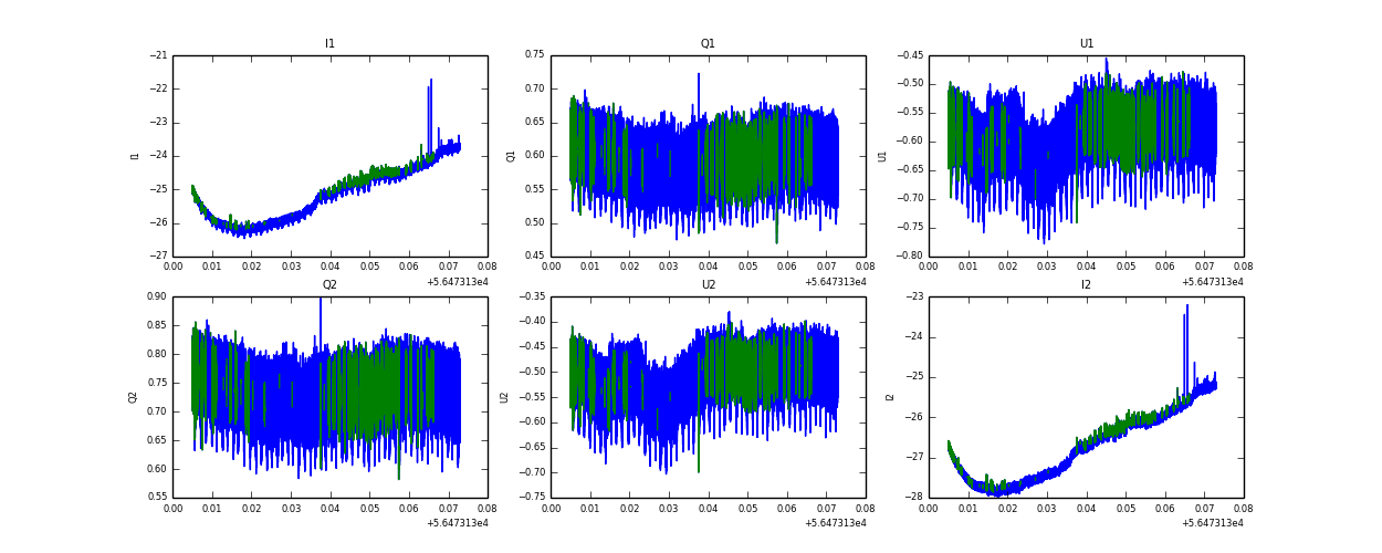
Raw channel data