Overview

[1] [2] [3]

Back        Forward

Overview

[1] [2] [3]

Back        Forward

Overview

[1] [2] [3]

Back        Forward

Raw fits file and map fits file

04-Jul-2013:03:50:16_reload.fits

04-Jul-2013:03:50:16_reload_map.fits


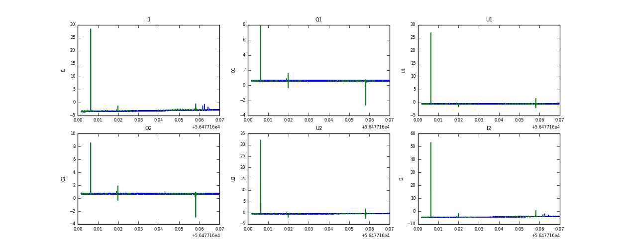
Raw channel data