Overview

[1] [2] [3]

Back        Forward

Overview

[1] [2] [3]

Back        Forward

Overview

[1] [2] [3]

Back        Forward

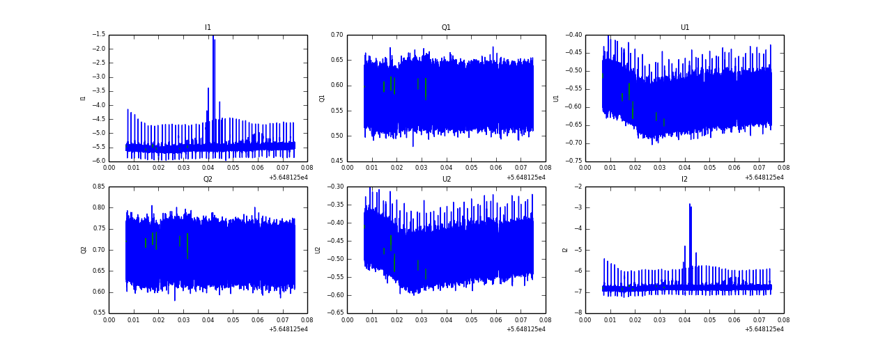
Raw fits file and map fits file

08-Jul-2013:06:07:18_reload.fits

08-Jul-2013:06:07:18_reload_map.fits


Raw channel data