Overview

[1] [2] [3]

Back        Forward

Overview

[1] [2] [3]

Back        Forward

Overview

[1] [2] [3]

Back        Forward

Raw fits file and map fits file

11-Jul-2013:10:13:12_reload.fits

11-Jul-2013:10:13:12_reload_map.fits


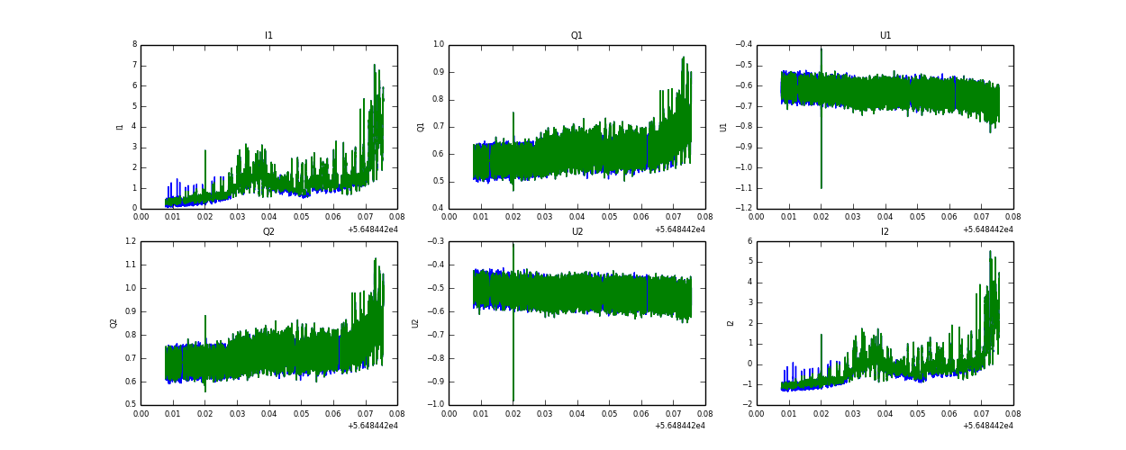
Raw channel data