Overview

[1] [2] [3]

Back        Forward

Overview

[1] [2] [3]

Back        Forward

Overview

[1] [2] [3]

Back        Forward

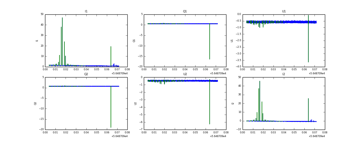
Raw fits file and map fits file

14-Jul-2013:02:12:24_reload.fits

14-Jul-2013:02:12:24_reload_map.fits


Raw channel data