Overview

[1] [2] [3]

Back        Forward

Overview

[1] [2] [3]

Back        Forward

Overview

[1] [2] [3]

Back        Forward

Raw fits file and map fits file

20-Jul-2013:15:48:07_reload.fits

20-Jul-2013:15:48:07_reload_map.fits


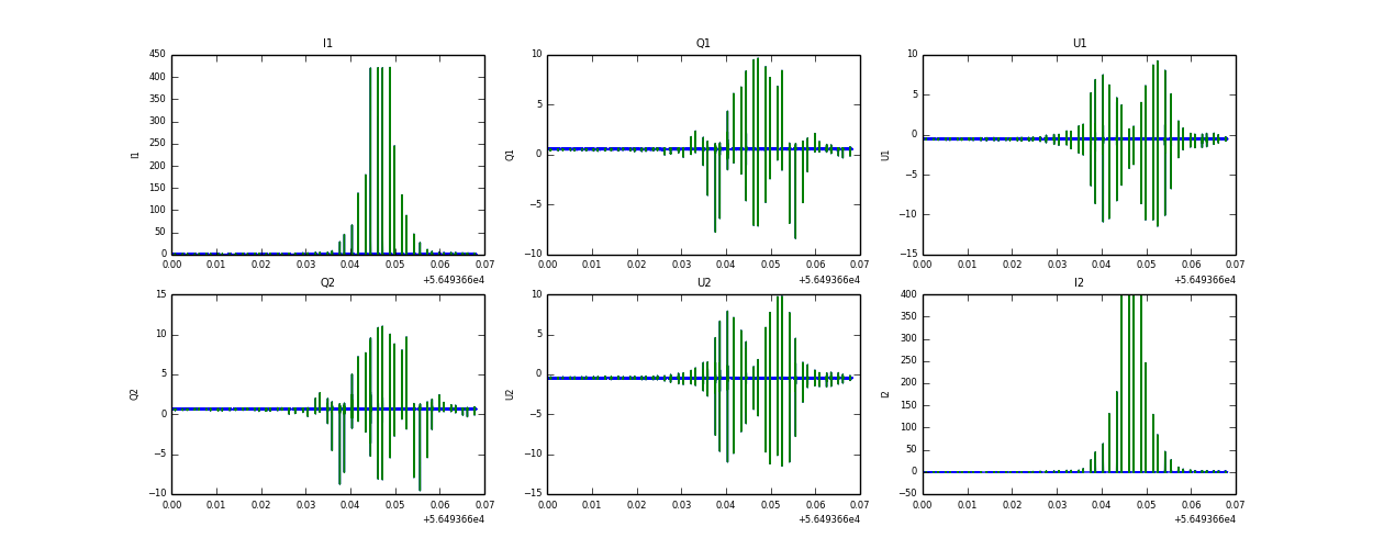
Raw channel data