Overview

[1] [2] [3]

Back        Forward

Overview

[1] [2] [3]

Back        Forward

Overview

[1] [2] [3]

Back        Forward

Raw fits file and map fits file

21-Jul-2013:23:50:42_reload.fits

21-Jul-2013:23:50:42_reload_map.fits


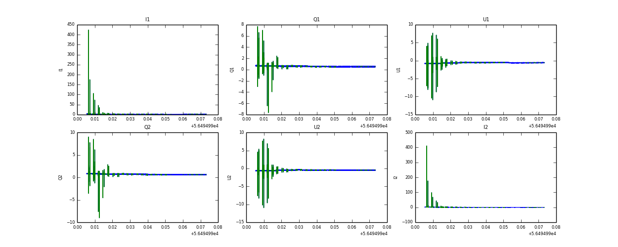
Raw channel data