Overview

[1] [2] [3]

Back        Forward

Overview

[1] [2] [3]

Back        Forward

Overview

[1] [2] [3]

Back        Forward

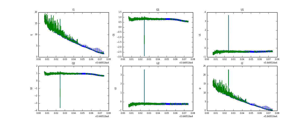
Raw fits file and map fits file

22-Jul-2013:03:57:23_reload.fits

22-Jul-2013:03:57:23_reload_map.fits


Raw channel data