Overview

[1] [2] [3]

Back        Forward

Overview

[1] [2] [3]

Back        Forward

Overview

[1] [2] [3]

Back        Forward

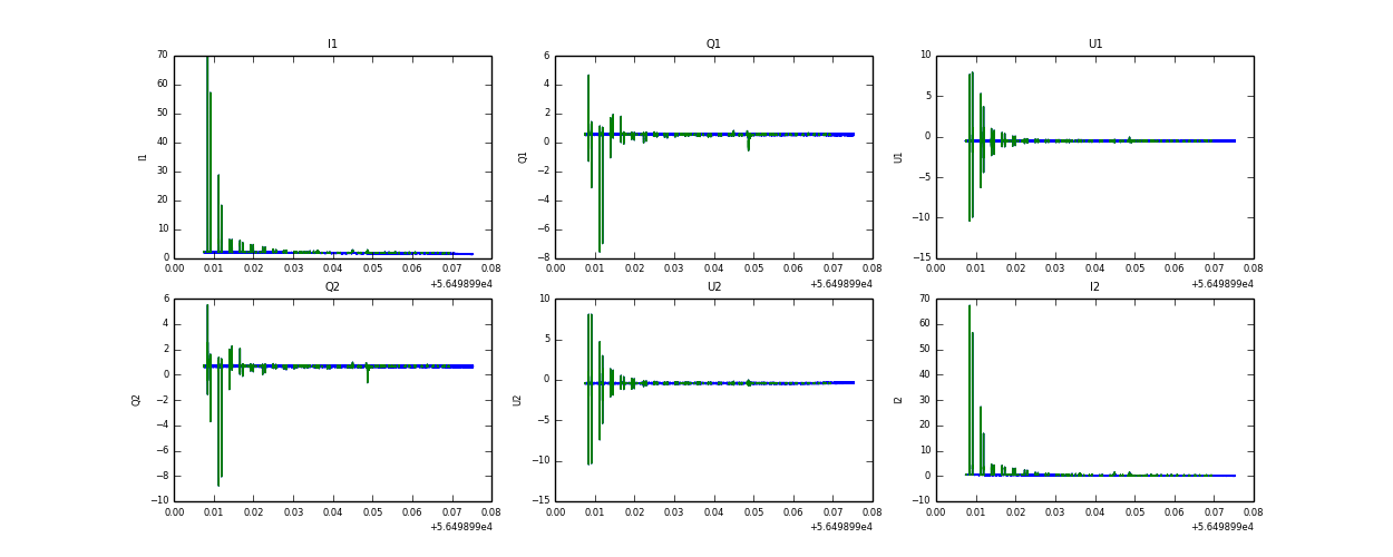
Raw fits file and map fits file

25-Jul-2013:23:53:36_reload.fits

25-Jul-2013:23:53:36_reload_map.fits


Raw channel data