Overview

[1] [2] [3]

Back        Forward

Overview

[1] [2] [3]

Back        Forward

Overview

[1] [2] [3]

Back        Forward

Raw fits file and map fits file

26-Jul-2013:14:02:33_reload.fits

26-Jul-2013:14:02:33_reload_map.fits


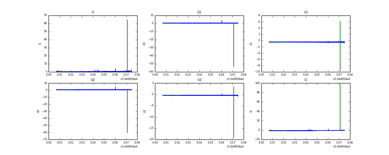
Raw channel data