Overview

[1] [2] [3]

Back        Forward

Overview

[1] [2] [3]

Back        Forward

Overview

[1] [2] [3]

Back        Forward

Raw fits file and map fits file

28-Jul-2013:23:53:56_reload.fits

28-Jul-2013:23:53:56_reload_map.fits


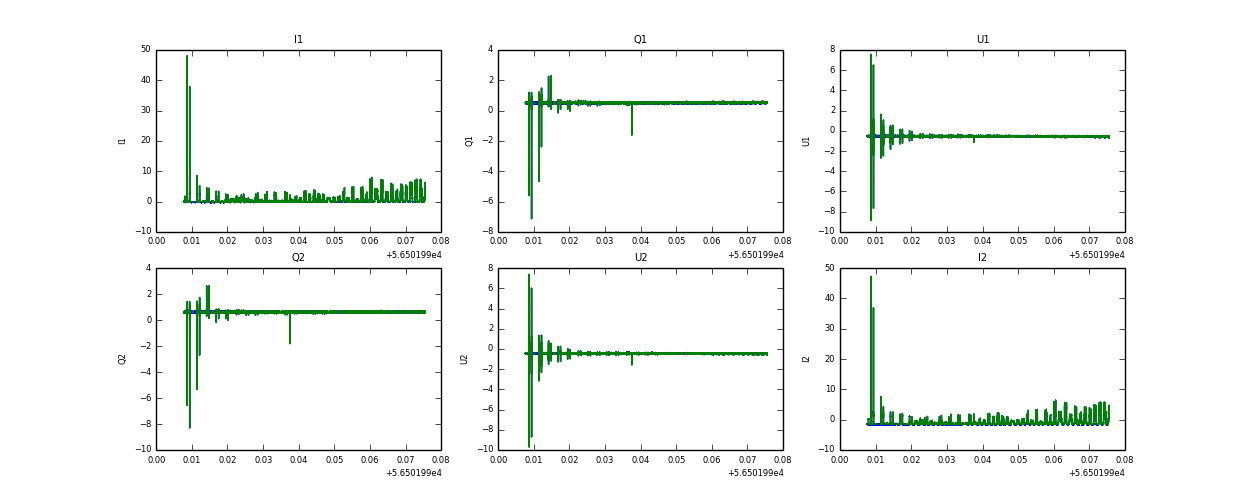
Raw channel data