Overview

[1] [2] [3]

Back        Forward

Overview

[1] [2] [3]

Back        Forward

Overview

[1] [2] [3]

Back        Forward

Raw fits file and map fits file

29-Jul-2013:03:48:34_reload.fits

29-Jul-2013:03:48:34_reload_map.fits


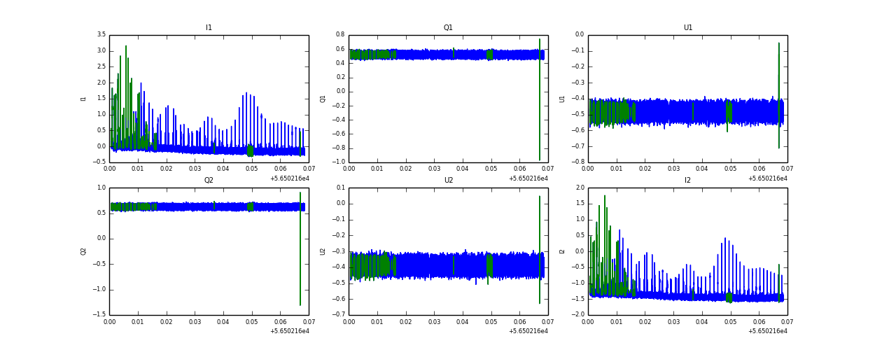
Raw channel data