Overview

[1] [2] [3]

Back        Forward

Overview

[1] [2] [3]

Back        Forward

Overview

[1] [2] [3]

Back        Forward

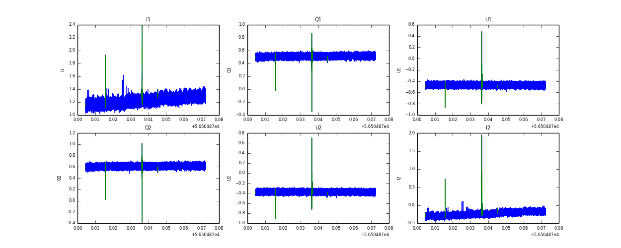
Raw fits file and map fits file

31-Jul-2013:20:56:28_reload.fits

31-Jul-2013:20:56:28_reload_map.fits


Raw channel data