Overview

[1] [2] [3]

Back        Forward

Overview

[1] [2] [3]

Back        Forward

Overview

[1] [2] [3]

Back        Forward

Raw fits file and map fits file

10-Aug-2013:23:03:59_reload.fits

10-Aug-2013:23:03:59_reload_map.fits


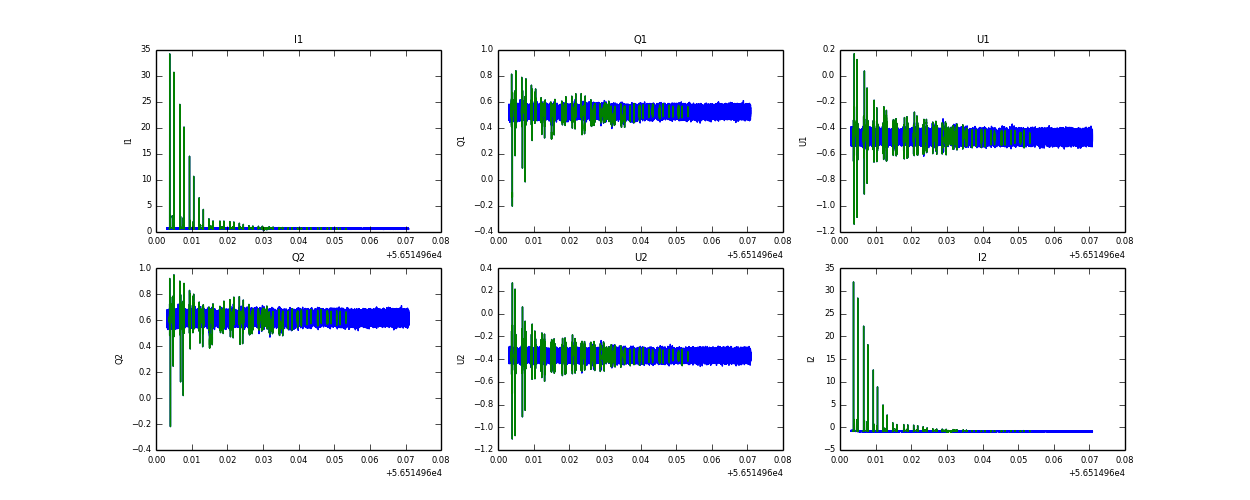
Raw channel data