Overview

[1] [2] [3]

Back        Forward

Overview

[1] [2] [3]

Back        Forward

Overview

[1] [2] [3]

Back        Forward

Raw fits file and map fits file

11-Aug-2013:16:02:54_reload.fits

11-Aug-2013:16:02:54_reload_map.fits


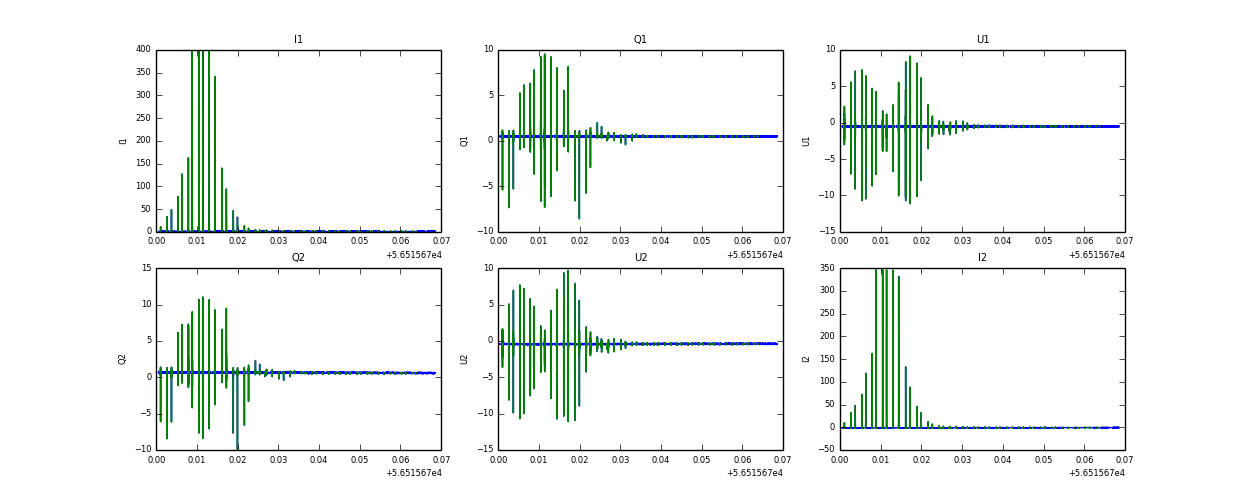
Raw channel data