Overview

[1] [2] [3]

Back        Forward

Overview

[1] [2] [3]

Back        Forward

Overview

[1] [2] [3]

Back        Forward

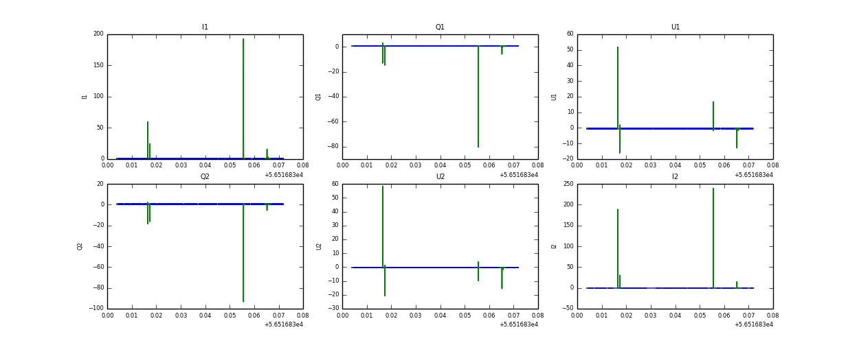
Raw fits file and map fits file

12-Aug-2013:19:58:11_reload.fits

12-Aug-2013:19:58:11_reload_map.fits


Raw channel data