Overview

[1] [2] [3]

Back        Forward

Overview

[1] [2] [3]

Back        Forward

Overview

[1] [2] [3]

Back        Forward

Raw fits file and map fits file

13-Aug-2013:14:40:53_reload.fits

13-Aug-2013:14:40:53_reload_map.fits


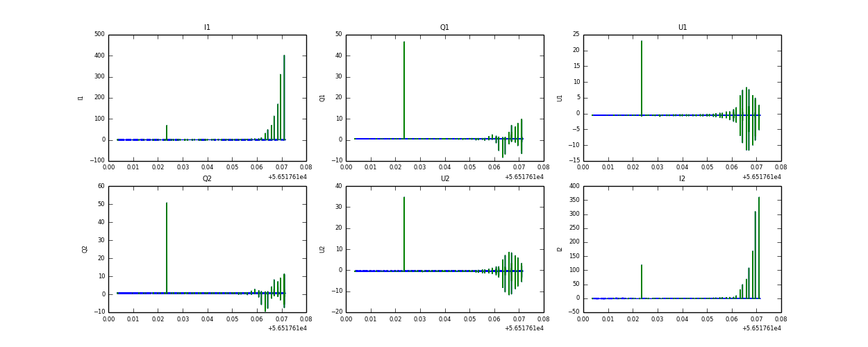
Raw channel data