Overview

[1] [2] [3]

Back        Forward

Overview

[1] [2] [3]

Back        Forward

Overview

[1] [2] [3]

Back        Forward

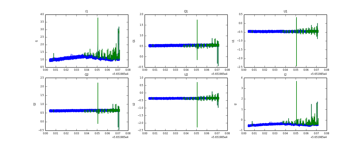
Raw fits file and map fits file

15-Aug-2013:20:27:02_reload.fits

15-Aug-2013:20:27:02_reload_map.fits


Raw channel data