Overview

[1] [2] [3]

Back        Forward

Overview

[1] [2] [3]

Back        Forward

Overview

[1] [2] [3]

Back        Forward

Raw fits file and map fits file

16-Aug-2013:17:10:05_reload.fits

16-Aug-2013:17:10:05_reload_map.fits


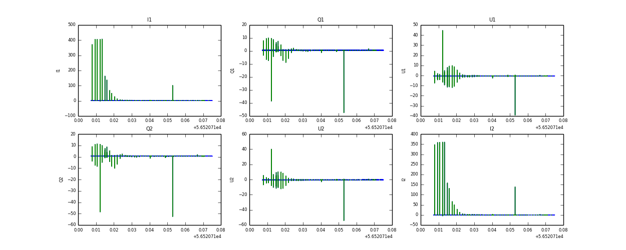
Raw channel data