Overview

[1] [2] [3]

Back        Forward

Overview

[1] [2] [3]

Back        Forward

Overview

[1] [2] [3]

Back        Forward

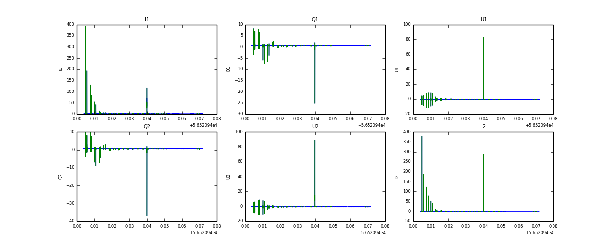
Raw fits file and map fits file

16-Aug-2013:22:36:33_reload.fits

16-Aug-2013:22:36:33_reload_map.fits


Raw channel data