Overview

[1] [2] [3]

Back        Forward

Overview

[1] [2] [3]

Back        Forward

Overview

[1] [2] [3]

Back        Forward

Raw fits file and map fits file

17-Aug-2013:04:00:23_reload.fits

17-Aug-2013:04:00:23_reload_map.fits


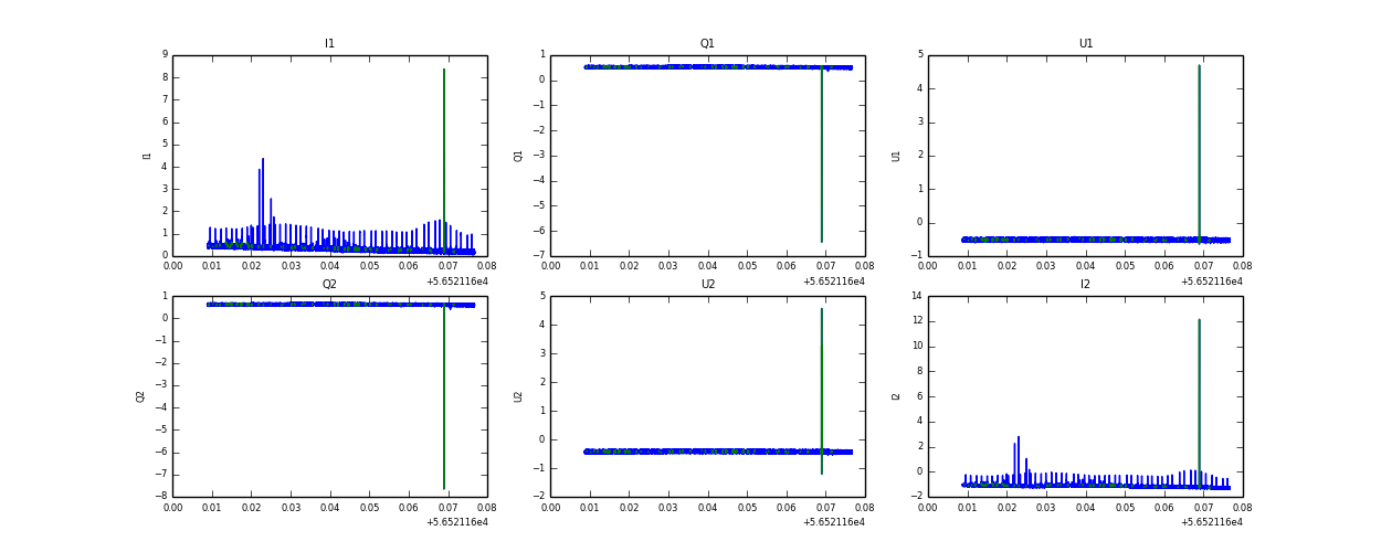
Raw channel data