Overview

[1] [2] [3]

Back        Forward

Overview

[1] [2] [3]

Back        Forward

Overview

[1] [2] [3]

Back        Forward

Raw fits file and map fits file

20-Aug-2013:23:39:29_reload.fits

20-Aug-2013:23:39:29_reload_map.fits


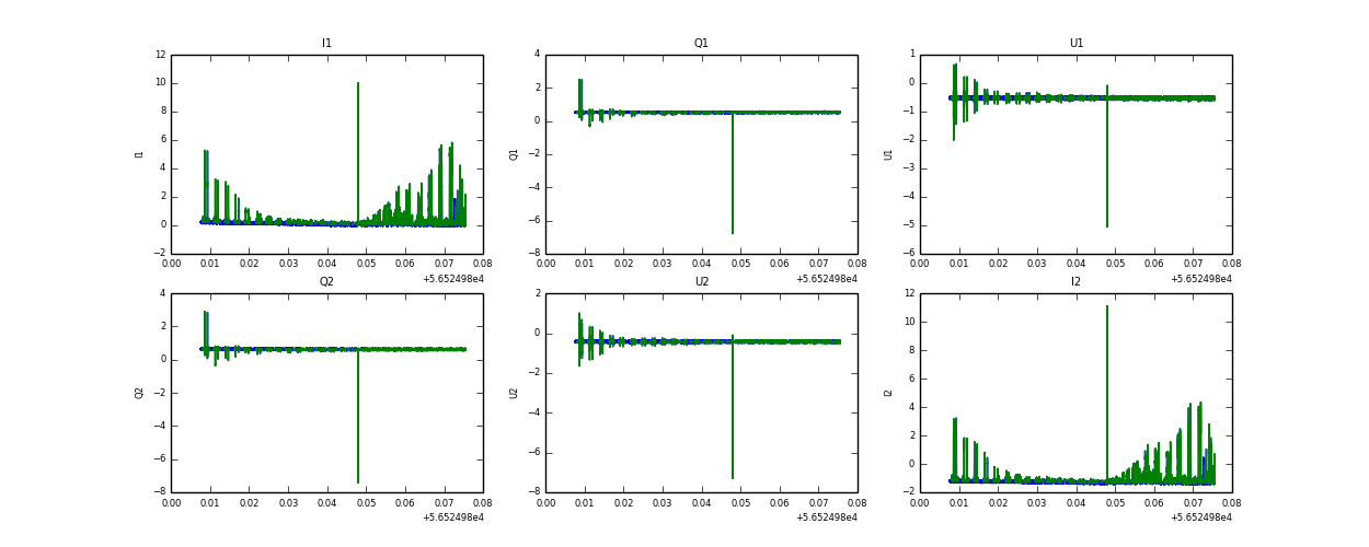
Raw channel data