Overview

[1] [2] [3]

Back        Forward

Overview

[1] [2] [3]

Back        Forward

Overview

[1] [2] [3]

Back        Forward

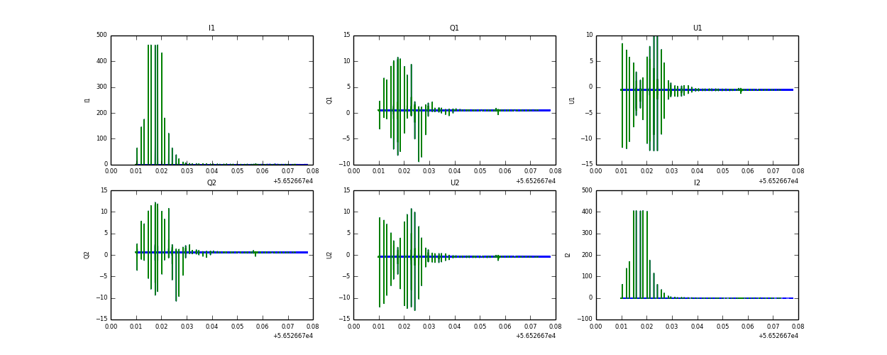
Raw fits file and map fits file

22-Aug-2013:16:16:18_reload.fits

22-Aug-2013:16:16:18_reload_map.fits


Raw channel data