Overview

[1] [2] [3]

Back        Forward

Overview

[1] [2] [3]

Back        Forward

Overview

[1] [2] [3]

Back        Forward

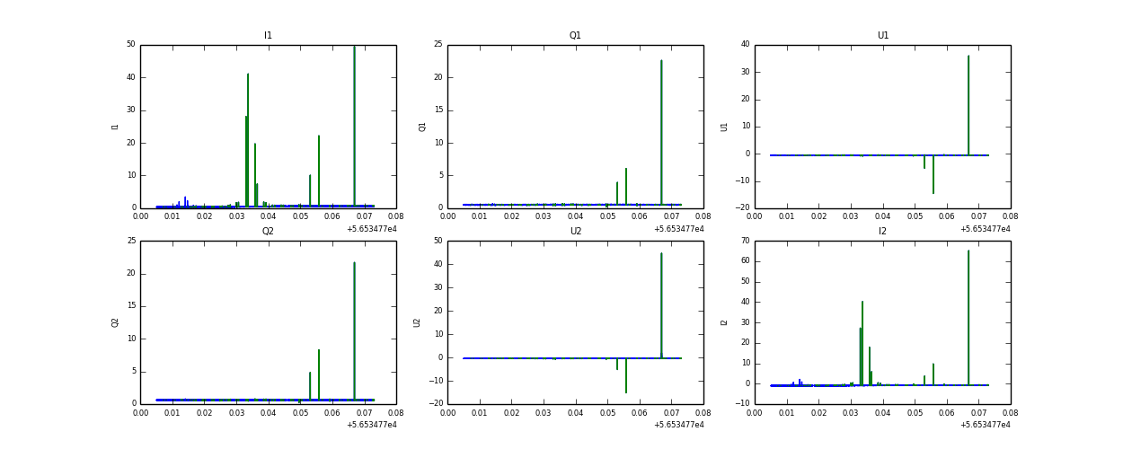
Raw fits file and map fits file

30-Aug-2013:18:33:28_reload.fits

30-Aug-2013:18:33:28_reload_map.fits


Raw channel data