Overview

[1] [2] [3]

Back        Forward

Overview

[1] [2] [3]

Back        Forward

Overview

[1] [2] [3]

Back        Forward

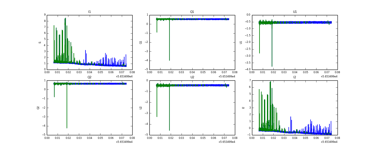
Raw fits file and map fits file

30-Aug-2013:23:52:02_reload.fits

30-Aug-2013:23:52:02_reload_map.fits


Raw channel data