Overview

[1] [2] [3]

Back        Forward

Overview

[1] [2] [3]

Back        Forward

Overview

[1] [2] [3]

Back        Forward

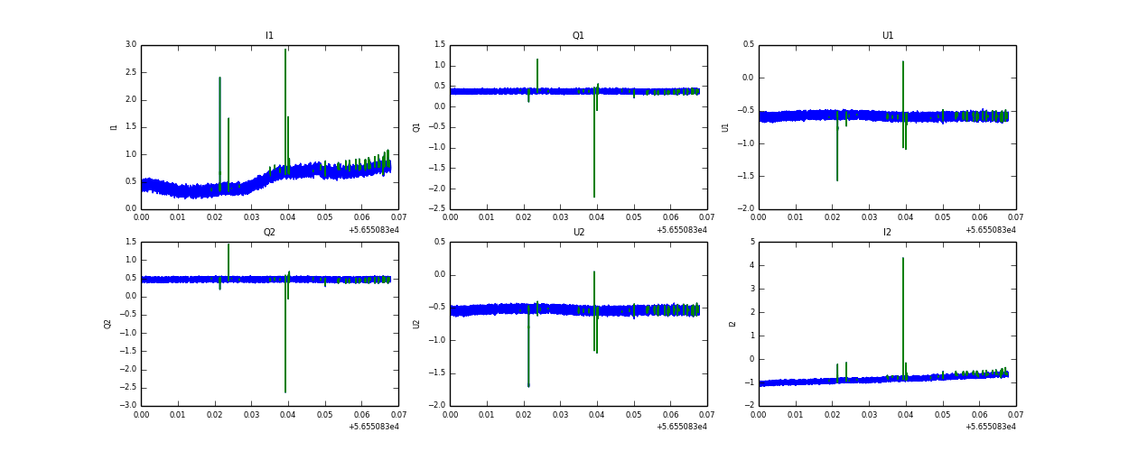
Raw fits file and map fits file

15-Sep-2013:19:52:30_reload.fits

15-Sep-2013:19:52:30_reload_map.fits


Raw channel data