Overview

[1] [2] [3]

Back        Forward

Overview

[1] [2] [3]

Back        Forward

Overview

[1] [2] [3]

Back        Forward

Raw fits file and map fits file

22-Sep-2013:17:03:42_reload.fits

22-Sep-2013:17:03:42_reload_map.fits


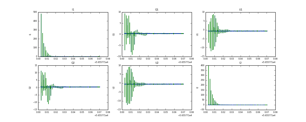
Raw channel data