Overview

[1] [2] [3]

Back        Forward

Overview

[1] [2] [3]

Back        Forward

Overview

[1] [2] [3]

Back        Forward

Raw fits file and map fits file

23-Sep-2013:22:37:13_reload.fits

23-Sep-2013:22:37:13_reload_map.fits


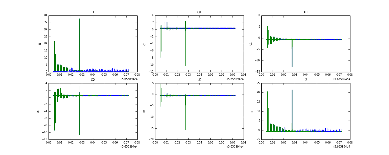
Raw channel data