Overview

[1] [2] [3]

Back        Forward

Overview

[1] [2] [3]

Back        Forward

Overview

[1] [2] [3]

Back        Forward

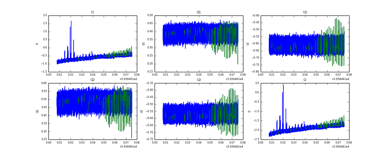
Raw fits file and map fits file

29-Sep-2013:14:46:45_reload.fits

29-Sep-2013:14:46:45_reload_map.fits


Raw channel data