Overview

[1] [2] [3]

Back        Forward

Overview

[1] [2] [3]

Back        Forward

Overview

[1] [2] [3]

Back        Forward

Raw fits file and map fits file

30-Sep-2013:12:45:56_reload.fits

30-Sep-2013:12:45:56_reload_map.fits


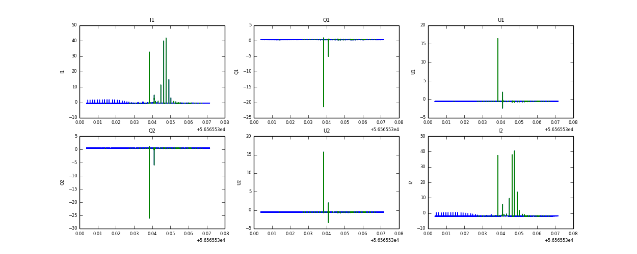
Raw channel data