Overview

[1] [2] [3]

Back        Forward

Overview

[1] [2] [3]

Back        Forward

Overview

[1] [2] [3]

Back        Forward

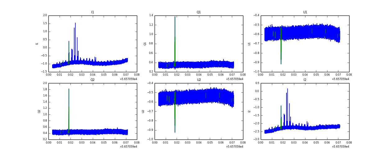
Raw fits file and map fits file

05-Oct-2013:14:12:01_reload.fits

05-Oct-2013:14:12:01_reload_map.fits


Raw channel data