Overview

[1] [2] [3]

Back        Forward

Overview

[1] [2] [3]

Back        Forward

Overview

[1] [2] [3]

Back        Forward

Raw fits file and map fits file

12-Oct-2013:23:05:08_reload.fits

12-Oct-2013:23:05:08_reload_map.fits


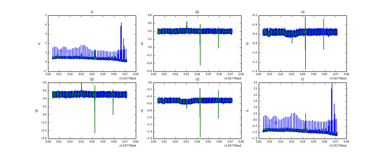
Raw channel data