Overview

[1] [2] [3]

Back        Forward

Overview

[1] [2] [3]

Back        Forward

Overview

[1] [2] [3]

Back        Forward

Raw fits file and map fits file

18-Oct-2013:19:20:16_reload.fits

18-Oct-2013:19:20:16_reload_map.fits


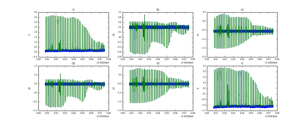
Raw channel data