Overview

[1] [2] [3]

Back        Forward

Overview

[1] [2] [3]

Back        Forward

Overview

[1] [2] [3]

Back        Forward

Raw fits file and map fits file

24-Oct-2013:18:21:17_reload.fits

24-Oct-2013:18:21:17_reload_map.fits


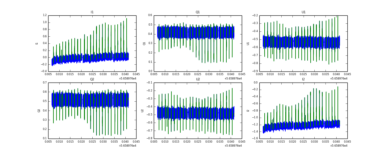
Raw channel data