Overview

[1] [2] [3]

Back        Forward

Overview

[1] [2] [3]

Back        Forward

Overview

[1] [2] [3]

Back        Forward

Raw fits file and map fits file

26-Oct-2013:02:05:11_reload.fits

26-Oct-2013:02:05:11_reload_map.fits


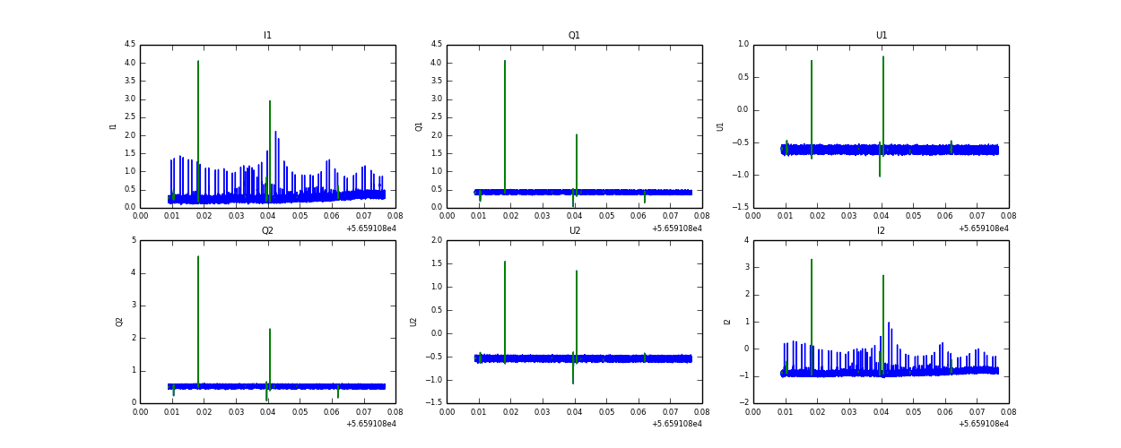
Raw channel data