Overview

[1] [2] [3]

Back        Forward

Overview

[1] [2] [3]

Back        Forward

Overview

[1] [2] [3]

Back        Forward

Raw fits file and map fits file

03-Nov-2013:16:37:07_reload.fits

03-Nov-2013:16:37:07_reload_map.fits


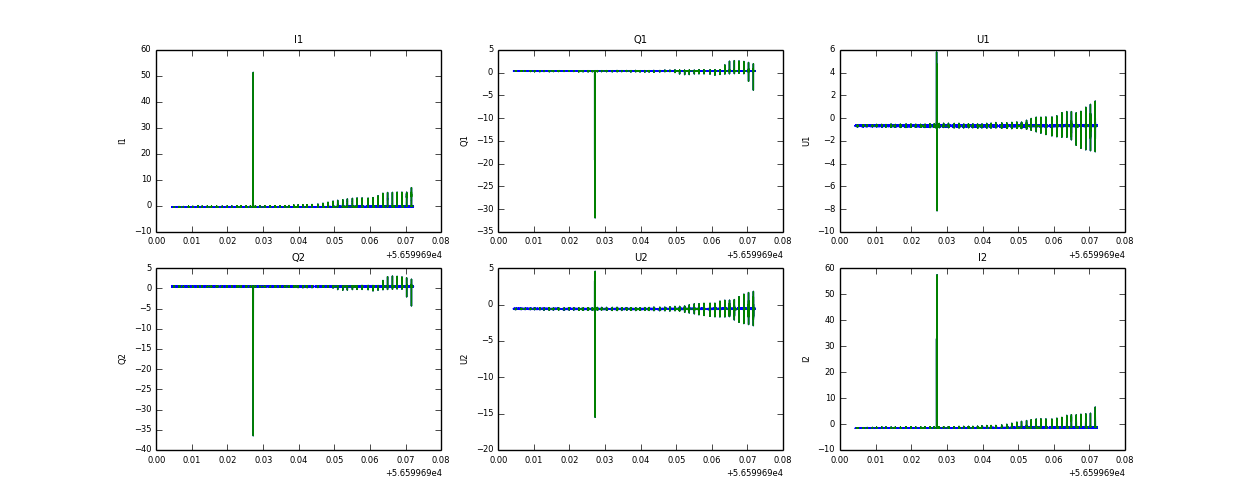
Raw channel data