Overview

[1] [2] [3]

Back        Forward

Overview

[1] [2] [3]

Back        Forward

Overview

[1] [2] [3]

Back        Forward

Raw fits file and map fits file

08-Nov-2013:08:22:14_reload.fits

08-Nov-2013:08:22:14_reload_map.fits


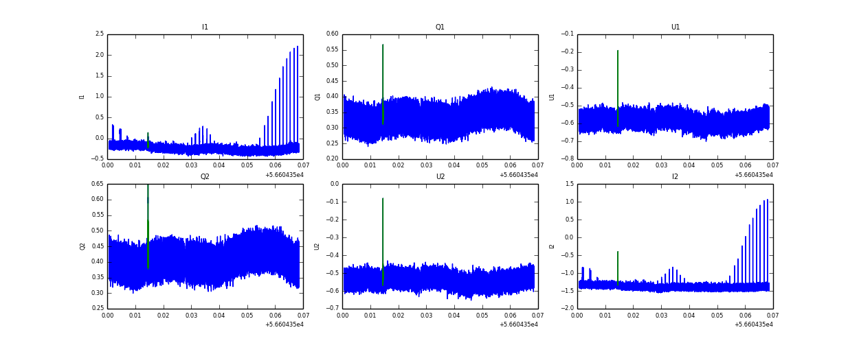
Raw channel data