Overview

[1] [2] [3]

Back        Forward

Overview

[1] [2] [3]

Back        Forward

Overview

[1] [2] [3]

Back        Forward

Raw fits file and map fits file

14-Nov-2013:22:53:29_reload.fits

14-Nov-2013:22:53:29_reload_map.fits


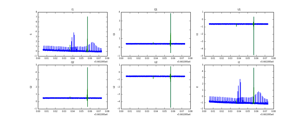
Raw channel data