Overview

[1] [2] [3]

Back        Forward

Overview

[1] [2] [3]

Back        Forward

Overview

[1] [2] [3]

Back        Forward

Raw fits file and map fits file

20-Nov-2013:18:37:40_reload.fits

20-Nov-2013:18:37:40_reload_map.fits


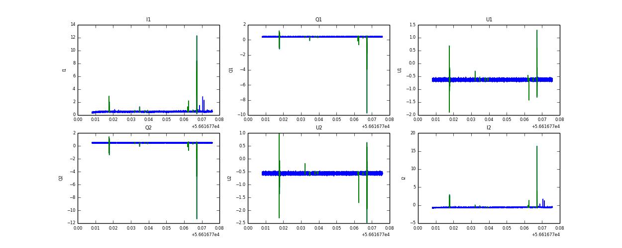
Raw channel data