Overview

[1] [2] [3]

Back        Forward

Overview

[1] [2] [3]

Back        Forward

Overview

[1] [2] [3]

Back        Forward

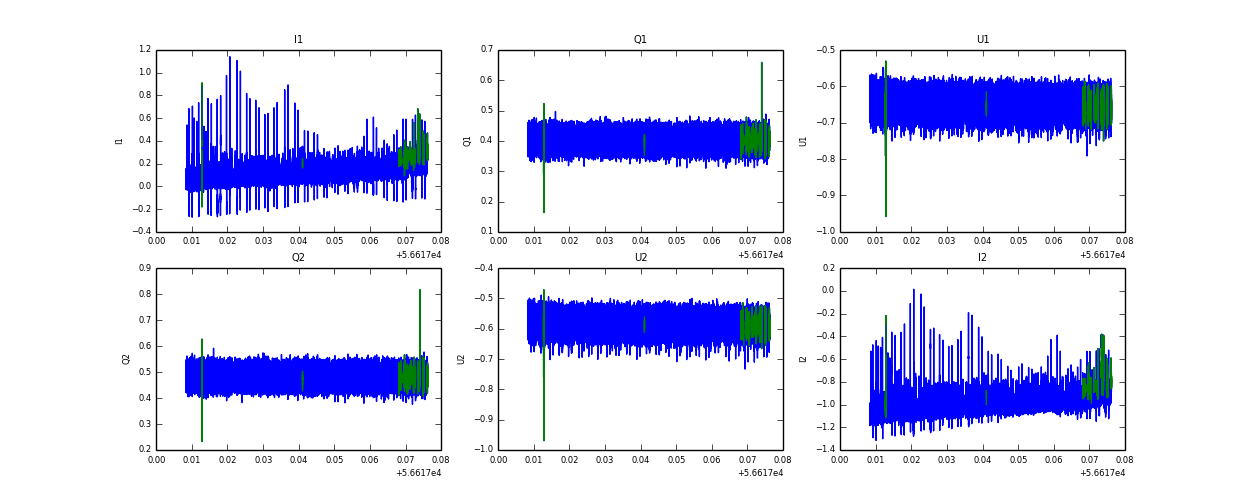
Raw fits file and map fits file

21-Nov-2013:00:09:17_reload.fits

21-Nov-2013:00:09:17_reload_map.fits


Raw channel data