Overview

[1] [2] [3]

Back        Forward

Overview

[1] [2] [3]

Back        Forward

Overview

[1] [2] [3]

Back        Forward

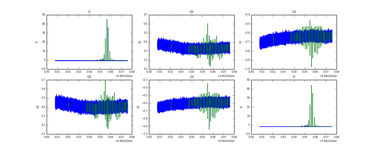
Raw fits file and map fits file

26-Nov-2013:10:13:35_reload.fits

26-Nov-2013:10:13:35_reload_map.fits


Raw channel data